流量儀表系列
- 液體流量計
- 空氣流量計
- 蒸汽流量計
- 孔板流量計
- V錐流量計
- 一體化孔板流量計
- 電磁流量計
- 渦街流量計
- 彎管流量計
- 金屬管浮子流量計
- 超聲波流量計
- 阿牛巴流量計
- 威力巴流量計
- 旋進旋渦流量計
- 渦輪流量計
- 玻璃轉子流量計
- 橢圓齒輪流量計
- 平衡流量計
- 楔形流量計
- 靶式流量計
- 熱式氣體質量流量計
- 旋翼式流量計
- 噴嘴氣體流量計
- 噴嘴流量計
- 三閥組
液位儀表系列
江蘇恒大儀表有限公司
聯系人:楊經理
手機:13915187193
電話:0517-86500226
傳真:0517-86800636
郵箱:jshdyb@163.com
地址:江蘇省金湖縣工業園區
電磁流量計的基波平均值轉換的信號處理方法?
日期:2022-12-12 點擊量:
電容隔離法或補償電路不能很好解決感應信號失真和干擾信號被放大等問題.經過大量實驗和對國外電磁流量計的研究,本文提出一種基波平均值轉換的信號處理方法,基于e(t)與峰值、平均值、有效值成正比關系,對信號進行濾波并采用基波平均值處理轉換的方法,可以有效提高電.磁流量計抗干擾的能力.結構框圖如圖4.
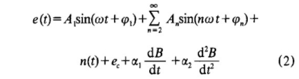
傳感器輸出流量信號十分微弱,為幾十微伏的交流信號,并疊加了多種頻率的噪聲干擾,表示為
式中,前兩項為信號基波和諧波,后四項為干擾噪聲(包括零均值噪聲、共模噪聲、微分噪聲、同相干擾).
信號是對稱方波脈沖形式,幅值為幾十微伏,脈沖寬度50ms,周期200ms,脈沖占空比為0.5,整機放大倍數2200倍.信號預處理電路為帶通濾波器,主要消除諧波和零均值噪聲.式(2)中
微分噪聲在一定的流體介質下,產生的誤差為系統誤 差,可以由信號調理電路末級的微分噪聲補償電路校準去除。
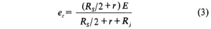
可以忽略。共模干擾雖然可以通過提高電路的共模抑制比來消除,但實際上由于元器件的溫度系數分散性較大,因此不可能使共模放大倍數Kc等于零,如采用圖2的方法,初級為雙端輸人單端輸出,則共模電壓e在中間級主放大器A3處會被放大K3倍,這樣會影響后級的信號處理,采用新的方法提高CMRR,根據差動放大電路的特點,在第一、第二級采用四運放,差動信號為雙端輸出,不經合并直接進人下一級.將第三級設計為增益是1的低通濾波電路,此信號處理方法可以使ec不被放大,從而避免影響整機信號.按CMRR為100dB計算,由于采用了新的處理方式,差動流速信號放大系數為Kd=1,所以計算得Ke=10-5,即整機信號調理電路可以將共模干擾信號衰減105倍.對于由電極對地形成的干擾有如下關系”,
式中:Rj為勵磁線圈對電極的絕緣電阻;Rs為傳感器感應信號內阻;r為傳感器接地電阻;E勵磁電壓;當E=24V時,共模干擾電壓ec=5mV,經衰減105倍后只有0.05μV,此干擾電壓對輸出不會有影響.通過實驗證明,CMRR做得很高時,應用此方法抗干擾能力的確很強。
該電磁流量計已經得到應用,并依據JJG198-94《速度式流量計檢定規程》,利用質量法水標準裝置,對采用基波平均值信號預處理電路的電磁流量計進行檢定,重復性誤差為0.1%,基本誤差為0.25%,線性度0.3%,檢測結果如表1.
傳感器輸出流量信號十分微弱,為幾十微伏的交流信號,并疊加了多種頻率的噪聲干擾,表示為
式中,前兩項為信號基波和諧波,后四項為干擾噪聲(包括零均值噪聲、共模噪聲、微分噪聲、同相干擾).
信號是對稱方波脈沖形式,幅值為幾十微伏,脈沖寬度50ms,周期200ms,脈沖占空比為0.5,整機放大倍數2200倍.信號預處理電路為帶通濾波器,主要消除諧波和零均值噪聲.式(2)中
微分噪聲在一定的流體介質下,產生的誤差為系統誤 差,可以由信號調理電路末級的微分噪聲補償電路校準去除。
可以忽略。共模干擾雖然可以通過提高電路的共模抑制比來消除,但實際上由于元器件的溫度系數分散性較大,因此不可能使共模放大倍數Kc等于零,如采用圖2的方法,初級為雙端輸人單端輸出,則共模電壓e在中間級主放大器A3處會被放大K3倍,這樣會影響后級的信號處理,采用新的方法提高CMRR,根據差動放大電路的特點,在第一、第二級采用四運放,差動信號為雙端輸出,不經合并直接進人下一級.將第三級設計為增益是1的低通濾波電路,此信號處理方法可以使ec不被放大,從而避免影響整機信號.按CMRR為100dB計算,由于采用了新的處理方式,差動流速信號放大系數為Kd=1,所以計算得Ke=10-5,即整機信號調理電路可以將共模干擾信號衰減105倍.對于由電極對地形成的干擾有如下關系”,
式中:Rj為勵磁線圈對電極的絕緣電阻;Rs為傳感器感應信號內阻;r為傳感器接地電阻;E勵磁電壓;當E=24V時,共模干擾電壓ec=5mV,經衰減105倍后只有0.05μV,此干擾電壓對輸出不會有影響.通過實驗證明,CMRR做得很高時,應用此方法抗干擾能力的確很強。
該電磁流量計已經得到應用,并依據JJG198-94《速度式流量計檢定規程》,利用質量法水標準裝置,對采用基波平均值信號預處理電路的電磁流量計進行檢定,重復性誤差為0.1%,基本誤差為0.25%,線性度0.3%,檢測結果如表1.
上一篇:孔板流計的工作原理?
下一篇:渦街流量計的實驗結果與分析?
相關新聞
- 2025-09-30液體流量計可以測量腐蝕性液體嗎?
- 2025-09-30孔板流量計的壓力損失大嗎?
- 2025-09-16液體流量計的精度受哪些因素影響?
- 2025-09-16液體流量計的測量范圍是多少?
- 2025-08-19大管道流量測量用插入式流量計還是管道式流量計?



